Hay remates y remates y el de hoy, no era un remate más. Fueron muchos los condimentos previos para marcarlo de esa manera, en una fecha que era muy sentida para toda la familia de Alfredo S Mondino. Por eso, el resultado tiene muchos matices, pero confluyen en una sola palabra: trabajo y compromiso de hacer lo que apasiona.
Nadie pensó que el número final serían 22 mil vacunos, en un cierre de año donde de repente, apareció oferta de todos lados, se llenó de “especiales” con un mercado ofertado, con valores que hace unos días empezaron a caer. Y si faltaba poco, los frigoríficos en su mayoría de cara a las fiestas y todos los feriados, licenciaron personal y muchos aprovecharon a cerrar sus puertas, todo el contexto para que la vara, sea cada vez más alta.
Y allí surgió, “el legado”, esa palabra que hoy se escuchó varias veces en el remate y se resume en el camino trazado que dejó el “Negro”, más trabajo previo, más equipo, más familia y usando herramientas que hasta ahora no había aparecido, como el plazo.
Por todo esto, los valores tienen una explicación: acá nada llegó improvisado, nadie le sacó el cuerpo y en medio de un mercado ganadero muy esperanzado y motivado, el plazo, fue el combustible que faltaba para lograr que el remate fuera lo que fue, agilidad, manos, pujas, valores.
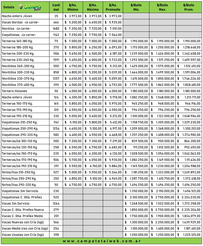
El Faenar con muchas haciendas a entregar en Enero –así se combinó con vendedores y frigoríficos-por eso consumos y exportación con precios de hasta 7500$ de promedio a levantar del campo. Para la invernada si alguien esperaba tranquilidad, la oferta solo fue un incentivo: promedios cercanos a los 6200$ en el macho, las hembras muy firmes en 5800$ y la estrella de los últimos remates – los lotes mixtos – en 6150$. El cierre otra vez mostró la vaca con cria como lo más buscado: vaquillonas paridas a 2.250.000$ lo que pisa, en Negocios donde el plazo apareció para empujar. Para el resto, los invito a ver los números en las planillas, por si solo hablan.
Se va un año muy especial para la firma, este 2025 fue duro pero a la vez el motor para entender que el mejor homenaje a quien dio origen y nombre y apellido a esta firma, es el trabajo y vaya si lo homenajearon, con todo lo que es posible.
Hoy hubo un remate en Río Cuarto, pero en el aire hubo mucho más que eso y tal vez, ese “algo” es el que termina de cerrar cualquier explicación.
Estos fueron los valores obtenidos:
Firma: Alfredo S. Mondino
Remate: Televisado
Plataforma/Lugar: Golf Club de Rio Cuarto y por Canal Rural
Martillo: Roberto Mondino – Pedro Althaparro – Julian Bicondoa – Baltazar Sanchez
Animales: 20.374
Categorías: Faena – Invernada – Cría
Plazo: 21, 25, 30, 60, 90, 120 dias
Fuente: Bicondoa – Bodanza
Informe: Bicondoa – Bodanza























